CramX Logo
Cloud 9 Ltd. : An Audit Case Study, First Canadian Edition Class Notes - Document preview page 1

Cloud 9 Ltd. : An Audit Case Study, First Canadian Edition Class Notes - Page 1

Document preview content for Cloud 9 Ltd. : An Audit Case Study, First Canadian Edition Class Notes

Cloud 9 Ltd. : An Audit Case Study, First Canadian Edition Class Notes

Cloud 9 Ltd. : An Audit Case Study, First Canadian Edition Class Notes makes revision easier by summarizing crucial textbook content, ensuring you don�t miss any important details.

Aiden Campbell
Contributor
4.1
0
12 months ago
Preview (13 of 41 Pages)
100%
Log in to unlock
Page 1 of 13
Cloud 9 Ltd. : An Audit Case Study, First Canadian Edition Class Notes - Page 1 preview image2Assignment 1: Understand the businessGeneral and industry-specific economic trends and conditionsThe Canadian economy is expected to grow at an average of approximately 2 to 3 percenteach year to 2016.After a period of spending and debt accumulation, Canadians are now focusing onreducing debt levels while interest rates are at historic lows. Today, the overalltrend is toward more prudent spending, resulting in modest growth. As the Bankof Canada signals interest rates will increase in the future, the timing of suchincreases are uncertain. Future interest rate increases may decrease the amountof disposable income available for expensive running shoes.Greater movement of U.S. retail chains into Canada continues to put pressure on theretail sector. With increased competition, price wars are common, puttingpressures on profit margins. There is an adequate supply of workers and thereare no special or unique labour relations requirements.However, sales of the product will depend on the target market. Who is most likelyto buyGeneration Y? Baby Boomers? Gen X? Mellennials? House prices andinterest rates don’t affectMellennials, Gen Yers, and the Baby Boomers asgreatly as Gen Xers, who are experiencing the prime years of home ownership.Therefore, the target market may not be significantly impacted by future interestrate increases.Lower pricing levels and improved quality of Chinese imports have resulted in largevolume increases. Cloud 9 has responded well to this shift by obtaining themajority of its good from its China distribution plant.The strength of the Canadian dollar against the U.S. dollar has improved the foreigncurrency exchange issues (dollar parity makes imports cheaper).Seasonality is not a specific concern for running shoes.Having a retail outlet/store increases the risk of theft (and has been proven) andneed for skilled or at least consistent labour.Cloud 9’s growth expectations are in line with the industry.Competitive environment/Product information/Customer information/Supplier informationCompetition is high and increasing, with price and quality the deciding factors.The ability to supply footwear retailers with products in a timely manner is animportant success factor against competitors. Footwear is subject to fashiontrends.Image and functionality are two of the most important characteristics consumers useto differentiate footwear. An aggressive marketing campaign, often using sportsand fitness preferences, riskey to establishing brand recognition.The industry is relatively capital intensive. The need for warehousing, transportation,and stock is high and may create barriers to entry.While entry from new wholesalers can be difficult based on agreements betweenexisting wholesalers and retailers, the trend in the industry is for the customer to
Page 2 of 13
Cloud 9 Ltd. : An Audit Case Study, First Canadian Edition Class Notes - Page 2 preview image
Page 3 of 13
Cloud 9 Ltd. : An Audit Case Study, First Canadian Edition Class Notes - Page 3 preview image3buy directly from the manufacturer. Cloud 9 has responded well to this trend byopening its own store, thereby taking out the wholesaler.Discount stores/outlets and online shopping also complete in this sector. This mayimpact Cloud 9’s current customer base and sales opportunities.To boost repeat customer visits, retailers are developing loyalty programs. WhileCloud 9 started a program this year, it remains to be seen if the benefits will beachieved given the low regularity of consumers purchasing athletic footwear.Technological advances and the effect of the InternetTechnological advances in this industry have mainly been in the areas of replacing the needfor skilled labour with computerized automation of inventory control.Computers allow inventory to be stored on an international basis, allowing for moreefficient transportation and distribution.Distribution management software allows advanced order management, inventorymanagement, and delivery systems to be combined into one seamless supplychain.Anonlinepresencewillprovideacompetitiveadvantagethroughincreasedmarketing power and the ability to provide product information.Laws and regulatory requirementsAs Cloud 9 is a public company it must adhere to the stock exchange regulations.Things to consider include corporate governance guidelines and filing requirements.As the majority of Cloud 9’s products are manufactured in Chinawith the remaindermade in the US, Cloud 9 should be aware and in compliance with the laws andregulations of these foreign jurisdictions. This includes the consideration of labourlaw requirements in these foreign countries.By considering these factors, the auditor would identify key business risks that would have amaterial effect on the financial statements. These risks are inherent to the businessoperations. Based on the research above, the Cloud 9 audit team have identified thefollowing audit risk areas:NOTE TO THE LECTURER:Additional discussion pointsIt is important to clearly distinguish between business risks and significant risks. Businessrisks are faced by management in its operation of the business. Significant risks are thosethat increase the risk of material misstatement and require attention by the auditor.From a big picture perspective, you may want to highlight the key risks in respect ofunderstanding the wholesale/retail industry. This does not directly affect the outcome ofthe case study for Cloud 9 given the limited company background provided.How does the company control the suppliers/manufacturers? Are they local orinternational?
Page 4 of 13
Cloud 9 Ltd. : An Audit Case Study, First Canadian Edition Class Notes - Page 4 preview image4How does Cloud 9 determine the quantities and styles for its purchases from themanufacturer?Ultimately,thewholesalerinheritssomeoftheriskwhendetermining inventory balances to effectively service the retailers.What are the terms and conditions with the retailers? What rebates or discounts areprovided? As price is the key driver in retail, this will be the area of concern whendealing with retailers.
Page 5 of 13
Cloud 9 Ltd. : An Audit Case Study, First Canadian Edition Class Notes - Page 5 preview image5Potential riskdescriptionAccount(s)Assertion(s)(assignment 3)Level of inherent risk(assignment 3)Growth of revenues given industry outlook andmanagement incentiveConsumer discretionary spend is low and expected togrow by only 2percentfor the year.Managementistoreceive bonuses based on revenue targets, whichisset at 3percent;therefore,there is a managementbiasto overstate assetsandrevenues and understateliabilities and expenses.General economic conditionswill also impact retail businesses with theirrecoverability ofaccounts receivableand valuation ofassets.RevenueAccounts ReceivableAccrued Bonuses PayableOccurrence, AccuracyExistence, ValuationExistence, ValuationHIGHUse of IT for inventory management systemRetail businesses are reliant on a smooth supply chainprocess. Where a business uses products with a longlead time, there is significant pressure to ensure thatthe correct type and quantityof inventoryis orderedto meetthe requirements of customers.InventoryCost of SalesCompleteness, Existence,ValuationCompleteness, Occurrence,AccuracyHIGHWhere there is a high reliance ontiming of supply or one supplier, thiscan affect the level of sales,makingthe assessment “High.Thecompany’s early implementationissues of the JIT system and FOBshippingpoint terms also contributeto the higher assessment.Nature of thefashionindustry and itstrendsRapidly changing fashion trends and slow salesoutlooks can result in obsoleteinventory.InventoryExistence, ValuationLOWBased on the stability of the athleticfootwear market, this inherent risk is“Low” as the fashion trends are not asexaggerated as with other footwearproducers or retailers.
Page 6 of 13
Cloud 9 Ltd. : An Audit Case Study, First Canadian Edition Class Notes - Page 6 preview image6Potential riskdescriptionAccount(s)Assertion(s)(assignment 3)Level of inherent risk(assignment 3)Misappropriation ofinventoryand cashRetail businessesselling highly desirable andmoveable products (such asPC games, CDs,anddesignersunglasses) will be exposed to an increasedrisk of theft. In addition, employees handling cash atvariousstore locations increases the risk of fraudthrough theft.CashInventoryCost ofGoods SoldExistence, ValuationExistence, ValuationExistence, AccuracyHIGHPrevious thefts, easy portability ofcash and inventory.Rebates/discounts to retailersFor the wholesale business, there is significantpressure from retailers to receive generous rebates orvolume discounts.Retailers are heavily influenced bylandlords and consumers; therefore,they controltheir profits through the supply chain, thus impactingthe wholesaler.DiscountsGiven(Expenses)RevenuesCost ofSalesValuation and allocationAccuracyAccuracyHIGHManagement incentives and pressurefrom ownership for growth.
Page 7 of 13
Cloud 9 Ltd. : An Audit Case Study, First Canadian Edition Class Notes - Page 7 preview image7Assignment 2: Calculate materialityW/P ref:A21Prepared by:_____Date prepared:_____Cloud 9 Ltd.December 31, 2014Setting materialityUsersFinancialstatementarea ofmostconcern to theuserCloud 9 Inc.This is the parent company of Cloud 9 Ltd. They areconcerned with the company’s ability grow its marketshare of the North American footwear market. This wouldbest be reflected by revenues.BankConcerned with the ability of Cloud 9 to repay borrowedfunds. As a result, it is mostly concerned with net incomeas this is the best predictor of an entity’s future ability torepay.ManagementConcerned primarily with revenues as this is the basis fortheir bonuses.Base selected for planning materiality (PM): _________________________________Justification for selection:__________________________________________________________________________Revenue is the most appropriate basis for calculating PM. This is the preferred methodbecause:Cloud 9 is currently in a loss for the year ended December 31, 2014; therefore, netincome before tax is not an appropriate basis.The parent entity (main users of the accounts) is concerned with increasing themarket share of the Canadian marketessentially revenue.Management has an incentive to manipulate revenue based on growth targetsexpected and compensation attached to meeting those targets._____________________________________________________________________________________________________________________________________________________________________________________________________________________________________________________________________________________________________Calculation of PMCurrent YearPrior YearTrial balance amount:$ 37,194,932$ 34,038,192Normalizing adjustments(that is, non-recurring items)$ 0$ 0Annualized (if required):NA; full-year balances usedNA; full-year balances used
Page 8 of 13
Cloud 9 Ltd. : An Audit Case Study, First Canadian Edition Class Notes - Page 8 preview image8Benchmark applied0.5% of revenuesCalculated materiality:$37,194,192 × 0.5% =$185,975Conclusion: PM materiality is $185,000 (rounded).Performance materiality: 60% × $185,000 = $111,000.Conclusion: Performance materiality is$111,000.Discussion pointsConsider how you will use the planning materiality in your audit. What factors might leadyou to increase or decrease the planning materiality amount?NOTE TO THE LECTURER:Additional discussion pointsHow would the planning materiality be used?Tocomparefluctuationsin(annualized)accountsbetweenyears,thosewithfluctuations greater than materiality may need greater attention.In the allocation of resources within the audit, those accounts with greater levels ofinherent risk and more material accounts may receive more audit hours.What would lead the auditor to increase or decrease materiality?There could be uncertainty in the external environment. For example, during theglobal financial crisis, auditors may have been more conservative and decreasedthe level of materiality to ensure detection of material misstatements.If this is a new audit client, the auditor may set materiality lower in the first yearwhile gathering an understanding of the client. If no material misstatements arefound in the first year, it may be increased on subsequent audits.
Page 9 of 13
Cloud 9 Ltd. : An Audit Case Study, First Canadian Edition Class Notes - Page 9 preview image9Assignment 3: AssertionsSee table provided in the solution for Assignment 1.Discussion pointsSignificant risks not linked to any account or assertionA significant risk increases the risk of material misstatement. Thus if a risk cannot belinked to an account or assertion, it probably does not increase the risk of erroror fraud in the financial statements. Therefore, the auditor should consider it aspart of their understanding of the business, but it will have limited impact on theexecution of the audit.Overall analysis for the clientOverall, there is a HIGH risk.There are a number of accounts where there is a high risk of misstatement due topotential management or employee manipulation.Also, the general economic environment (with disappointing retail sales figures)coupled with significant (possibly unachievable) growth targets merits a HIGHoverall rating.
Page 10 of 13
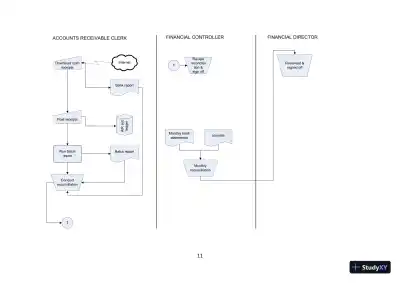
Cloud 9 Ltd. : An Audit Case Study, First Canadian Edition Class Notes - Page 10 preview image10Assignment 4: Documenting an accounting processThe solution guide below is a detailed flowcharta more simplified flow diagram as show in Figure 4.1 of the text can also be used
Page 11 of 13
Cloud 9 Ltd. : An Audit Case Study, First Canadian Edition Class Notes - Page 11 preview image11ACCOUNTS RECEIVABLE CLERKFINANCIAL CONTROLLERFINANCIAL DIRECTORDownload cashreceiptsInternetBank reportPost receiptsA/R subledgerRun batchreportBatch reportConductreconciliationReviewreconciliation &sign offMonthly bankstatementsJournalsMonthlyreconciliationReviewed &signed off11
Page 12 of 13
Cloud 9 Ltd. : An Audit Case Study, First Canadian Edition Class Notes - Page 12 preview image12From the interview transcript, students should ask the following questions for furtherinformation or clarification:For the sales managerHow often are prices changed? What is the process for making a change to themaster price list? Who has access to the master price lists?What are the mechanics of the credit check that the system performs? Who set thelimits? What happens if they are over their limits? How are the limits changed?For the shipping supervisorHow are the goods prepared for delivery; that is, how are they packaged?Do the drivers check their loads against the shipping documents prior to departingthe warehouse or during their deliveries? What is the evidence of this?For the warehouse managerHow do you ensure all sales orders are filled?What happens if a product is returned?For Carla Johnson (to represent finance)What happens if the batch posting report doesn’t reconcile to the bank report?How do you know to what invoice the payment relates?Do you ever have cash that you can’t determine what customer or invoice againstwhich it should be applied?For an IT managerOverall, there is such a reliance on the IT systems that the audit team would want to get anIT specialist involved to help review the general controls (access, change management,backups) as well as help understand exactly what happens to the data that gets entered.Discussion pointsWhat would you do if you found a weakness that did have a mitigating control? Would itaffect your assessment of the control systems’ ability to prevent or detect materialmisstatements?Weaknesses that have a mitigating control to detect whether an error may have occurredand as a result are rectified can mean that the weakness is lessened. It will depend on howfrequently and diligently the mitigating control is performed.
Page 13 of 13
Cloud 9 Ltd. : An Audit Case Study, First Canadian Edition Class Notes - Page 13 preview image13Assignment 5: Identifying errors in the accounting processSignificantprocessPotentialmisstatementsAssertionsTransaction level internal controls(assignment 6)Sales/AccountsreceivableCredit memos are not issued orrecorded for returns on a timelybasis orcredit memos are not issuedat all.SalesoccurrenceAccounts ReceivableexistenceCredit memos > $10,000 areapproved byreceivingmanager and finance director.All others are approved by receiving manager.Bar code scannersareused to automaticallyrecord sales and returns.Duplicate/false sales transactions arerecorded.SalesoccurrenceAccounts ReceivableexistenceAllowance forDoubtfulAccountscompletenessSales orderisautomatically matched toshipping documentin Swift prior to shipment.Shipping supervisor enters passcode in Swiftauthorizing each shipment.System generates draft invoice whenshippingdocumentauthorized by shipping supervisor.System automatically poststheinvoice tothesales and A/R subledgers.Invoice misstates the quantity ofgoods shipped or incorrect pricing.SalesallocationAccounts ReceivablevaluationInventoryvaluationCost of Goods SoldallocationDraft sales invoices are agreed toshippingdocumentssigned by customers.Sale prices aretaken fromthemaster pricefile.Salesorders areautomatically matched toshipping documentsin Swift prior toshipment.System generates draft invoice whentheshipping documentisauthorized bytheshipping supervisor.System automatically poststheinvoice tosales and A/R subledgers.
Preview Mode

This document has 41 pages. Sign in to access the full document!