’SSOLUTIONS&RESOURCEMANUALPrepared byHardeep S. GillNAITPERSONALFINANCESecond Canadian EditionJeff MaduraFlorida Atlantic UniversityHardeep S. GillNAITPreview Mode
This document has 177 pages. Sign in to access the full document!

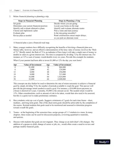
Document preview content for Personal Finance, Second Canadian Edition Solution Manual
Gain confidence in solving textbook exercises with Personal Finance, Second Canadian Edition Solution Manual, a comprehensive guide filled with answers.
’SSOLUTIONS&RESOURCEMANUALPrepared byHardeep S. GillNAITPERSONALFINANCESecond Canadian EditionJeff MaduraFlorida Atlantic UniversityHardeep S. GillNAITThis document has 177 pages. Sign in to access the full document!