Solutions Manual to AccompanyStatistics for Businessand EconomicsEleventhEditionDavid R. AndersonUniversity of CincinnatiDennis J. SweeneyUniversity of CincinnatiThomas A. WilliamsRochester Institute of TechnologyPreview Mode
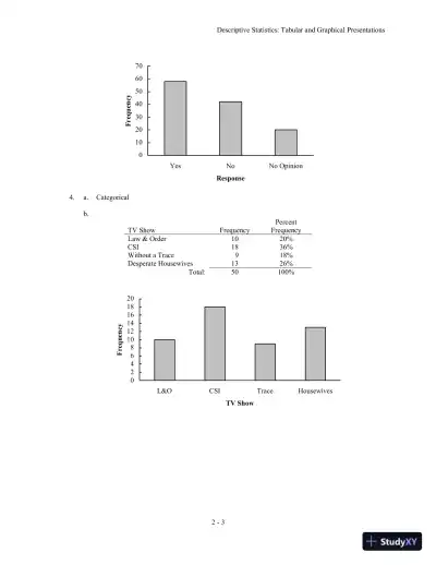
This document has 686 pages. Sign in to access the full document!
