1-1Chapter 1IntroductionLearning Objectives1.Develop a general understanding of the management science/operations research approach to decisionmaking.2.Realize that quantitative applications begin with a problem situation.3.Obtain a brief introduction to quantitative techniques and their frequency of use in practice.4.Understand that managerial problem situations have both quantitative andqualitative considerationsthat are important in the decision making process.5.Learn about models in terms of what they are and why theyare useful (the emphasis is onmathematicalmodels).6.Identify the step-by-step procedure that is used in most quantitative approaches to decision making.7.Learn about basic models of cost, revenue, and profit and be able to compute the breakeven point.8.Obtain an introduction to the use of computer software packages such asMicrosoft Excelin applyingquantitative methods to decision making.9.Understand the following terms:modelinfeasible solutionobjective functionmanagement scienceconstraintoperations researchdeterministic modelfixed coststochastic modelvariable costfeasible solutionbreakeven pointSolutions:Preview Mode
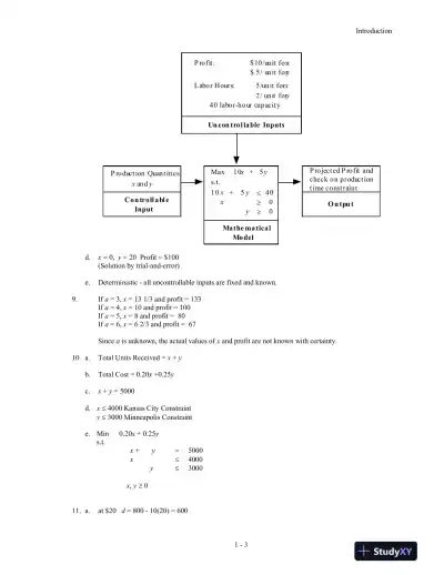
This document has 543 pages. Sign in to access the full document!
