ContentsPrefaceChapter1.Introduction2.An Introduction to Linear Programming3.Linear Programming: Sensitivity Analysis and Interpretation of Solution4.Linear Programming Applications in Marketing, Finance and Operations Management5.Advanced Linear Programming Applications6.Distribution and Network Models7.Integer Linear Programming8.Nonlinear Optimization Models9.Project Scheduling: PERT/CPM10.Inventory Models11.Waiting Line Models12.Simulation13.Decision Analysis14.Multicriteria Decision Problems15.Forecasting16.Markov Processes17.Linear Programming: The Simplex Method18.Simplex-Based Sensitivity Analysis and Duality19.Solution Procedures for Transportation and Assignment Problems20.Minimal Spanning Tree21.Dynamic ProgrammingAppendix A: Building Spreadsheet ModelsPreview Mode
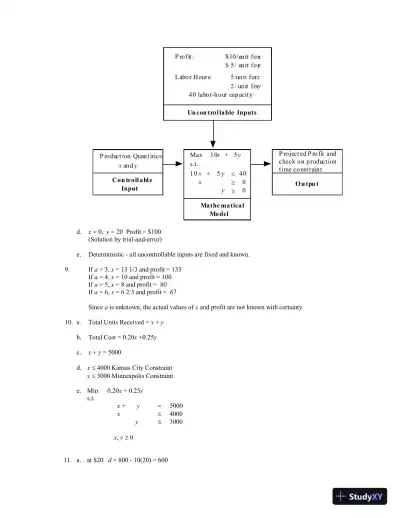
This document has 512 pages. Sign in to access the full document!
