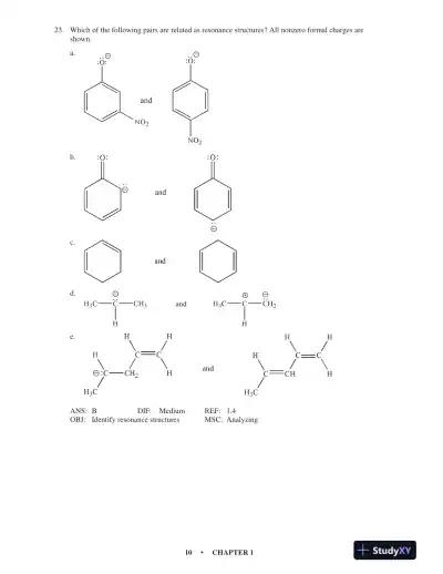
Organic ChemistryFIFTH EDITIONMaitland Jones, Jr., Steven A. FlemingThomas A. GrayTHE SAGE COLLEGESEkaterina N. KadnikovaGUSTAVUS ADOLPHUS COLLEGEAlan J. KennanCOLORADO STATE UNIVERSITYTEST BANKPreview Mode
This document has 814 pages. Sign in to access the full document!
